Actualité dentaire

161 résultat(s)

Summer meeting of the College of Diplomates of The American Board of Orthodontists_vf

College of Diplomates of the ABO The College 2013 Summer Meeting Southampton, Bermuda July 21 -27, 2013 Je vais présenter les résultats de mon nouveau projet de recherche « Functional Genioplasty in Growing Patients » et un séminaire « Hemimandibular [...]

Lettre à l'éditeur de Oral Surgery Oral Medecine Oral Pathology Oral Radiology

Une méta-analyse au sujet de L’EPRAC a été récemment publiée dans le journal OOOO (suivre ce lien).(Long-term dental and skeletal changes in patients submitted to surgically assisted rapid maxillary expansion- A meta-analysis). Connaissant plut [...]

Port et utilisation des aligneurs Invisalign®

Voici quelques astuces pour une utilisation appropriée et éviter l’endommagement de vos aligners.

Précautions prises dans les cabinets dentaires pour protéger les patients

• Ce qui s’est produit en Oklahoma et ailleurs aux États-Unis est consternant. Cette situation est inconcevable pour tout professionnel de la santé. Heureusement, il s’agit de cas extrêmement rares. • Les dentistes du Québec et du Canada appliquent [...]

Parmi les 16 meilleurs critiques de 2012 de l'AJODO

Lorsque j’ai complété mon programme de maîtrise en sciences dentaires de 2003 à 2008, j’étais loin de me douter que cela me permettrait de devenir « reviewer » de l’American Journal of Orthodontics and Dentofacial Orthopedics (AJOD [...]

Collapse de la dimension verticale

Affaissement de l’occlusion Introduction La perte des dents postérieures peut engendrer un affaissement de l’occlusion de sorte que les incisives inférieures sont de plus en plus recouvertes verticalement par les incisives supérieures. Ce [...]

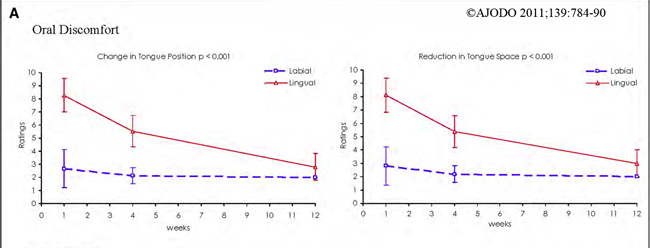
Impact des appareils linguaux customisés comparé aux appareils buccaux

Question à propos des appareils linguaux Pourriez-vous me préciser si le zozotement du départ disparaît ou non? Si oui, au bout de combien de temps? Réponse C’est une excellente question et j’avais déjà envisagé un blogue sur ce sujet. Vo [...]

Le dentiste, le docteur qui veille sur votre bouche

Désordres temporo-mandibulaire: mise au point sur les méthodes diagnostiques

. Affaires publiques et communications de l’Ordre des Dentistes du Québec   LES DÉSORDRES TEMPORO-MANDIBULAIRES : MISE AU POINT SUR LES MÉTHODES DIAGNOSTIQUES ET LES TRAITEMENTS Les désordres temporo-mandibulaires désignent un ensemble d’a [...]

Grillz (prothèse dentaire décorative en or)

Grillz Grillz: prothèse dentaire décorative en or. Ce modèle est conçu pour s’ajuster sur les dents inférieures. Le grillz est une prothèse dentaire décorative en vogue depuis le retour du bling-bling. La prothèse est généralement faite en méta [...]